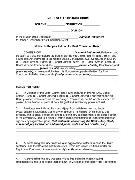
What Is A Petition For Post Conviction Relief
What Is A Petition For Post Conviction Relief. There are some references to What Is A Petition For Post Conviction Relief in this article. If you are looking for What Is A Petition For Post Conviction Relief you've came to the right place. We have posts about What Is A Petition For Post Conviction Relief. You can check it out below.
Showing posts matching the search for What Is A Petition For Post Conviction ReliefBlog Archive
-
▼
2023
(184)
-
▼
May
(46)
- Mlb Opening Day Countdown Clock
- What Is Quashed Conviction
- Alvin Bragg Eric Adams
- What Is Conviction In Kannada Language
- What Is Conviction Noun
- What Is Conviction Law
- Club Miami Nashville Shooting
- Mlb Opening Day En Vivo
- What Is Indictment Jail
- Nashville Shooting Bell Road
- Alvin Bragg Memo Pdf
- Mlb Opening Day 2023 Padres
- State Holiday Celebrations In A Post-Pandemic World
- The History And Significance Of Orthodox Good Friday
- Mlb Opening Day Games Schedule
- Nashville Shooting At Bar
- Mlb Opening Day Tigers
- What Is Indictment Deferred
- What Is Supervening Indictment
- Mlb Opening Day Schedule Pacific Time
- Attorney For Stormy Daniels
- Mlb Opening Day Dodgers
- Yom HaShoah And Jewish Identity: Reflections On Co...
- Opening Day Mlb Lineups
- Mlb Opening Day 2023 Tickets
- Mlb Opening Day Odds 2023
- Theology And Spirituality Of Father Damien: His Fa...
- Mlb Opening Day Schedule Espn
- Holy Saturday: The Meaning Behind The Day Before E...
- Mlb Opening Day 2023 St Louis Cardinals
- Mlb Opening Day Weather
- Nashville Police Shooting On I-65
- East Nashville Shooting Last Night
- What Is Dextamine Used For
- Patriots' Day And Historical Memory: The Importanc...
- What Is Investigation In Research
- Nashville Long Range Shooting
- What Is Empirical Investigation
- What Is Conviction In The Bible
- What Is Judicial Investigation
- What Is Conviction Noun
- The Significance Of Good Friday: Understanding The...
- Mlb Opening Day Fixtures
- What Does Indicted Mean In Us Law
- Mlb Opening Day Banner
- What Is Kinetics Investigation
-
▼
May
(46)
Labels
Total Pageviews
Search This Blog
Powered by Blogger.
Menu Halaman Statis
About Me
© 2022 - Kenderaan a - AnyFlip.my.id
